- Project Runeberg -  Upsala Universitets Årsskrift / 1861 /
25

Table of Contents / Innehåll | << Previous | Next >>
  Project Runeberg | Catalog | Recent Changes | Donate | Comments? |   

Full resolution (JPEG) - On this page / på denna sida - Sidor ...

scanned image

<< prev. page << föreg. sida <<     >> nästa sida >> next page >>


Below is the raw OCR text from the above scanned image. Do you see an error? Proofread the page now!
Här nedan syns maskintolkade texten från faksimilbilden ovan. Ser du något fel? Korrekturläs sidan nu!

This page has never been proofread. / Denna sida har aldrig korrekturlästs.

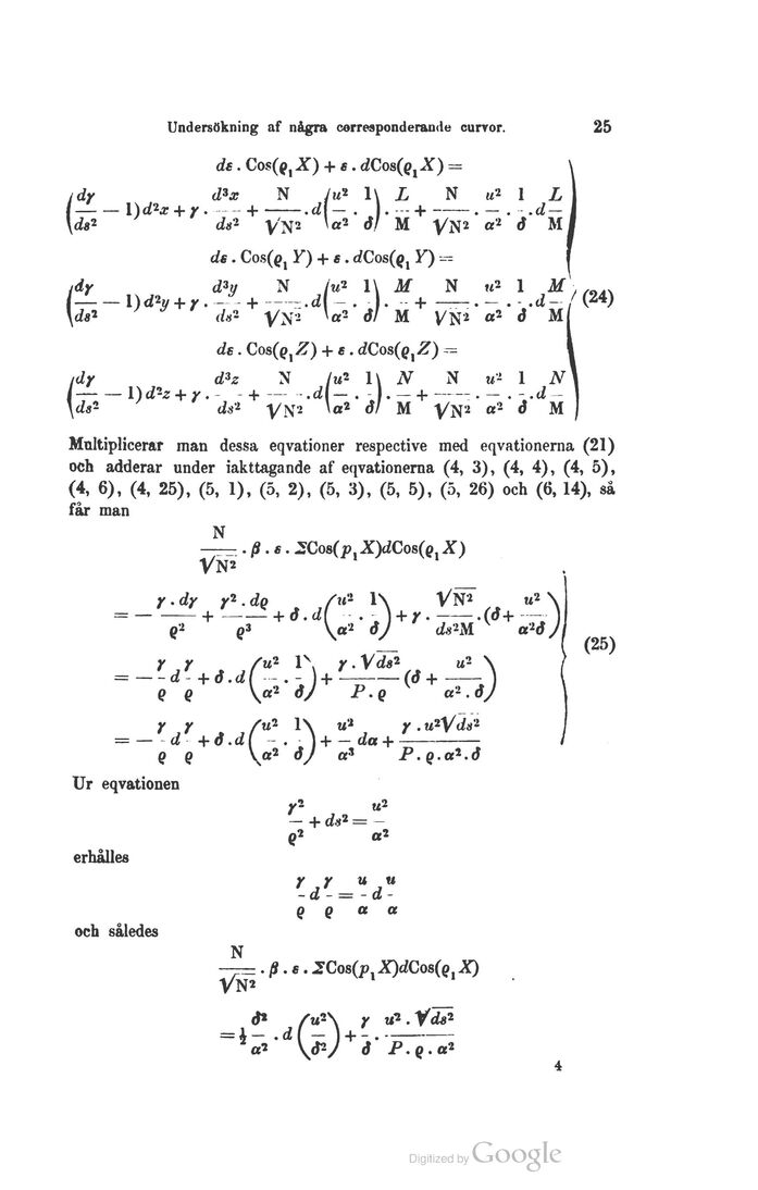
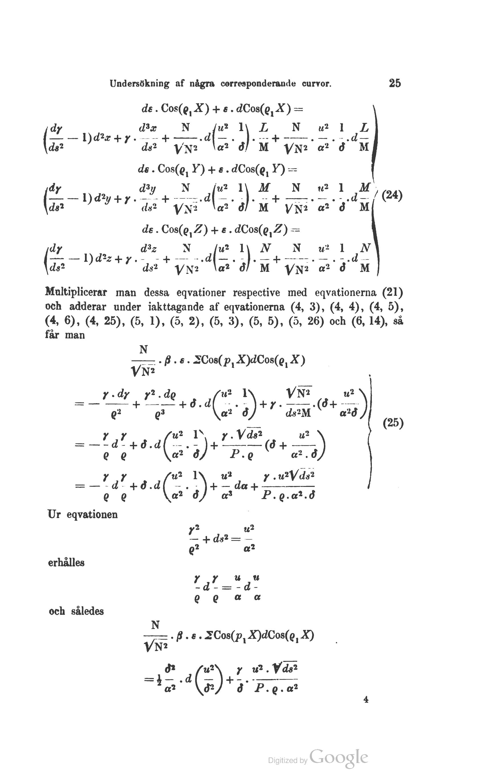
Undersökning af några cerresponderande curvor. 25

de . Cos(e, X) + & . dCos(e, X) =

(2 - Detr+r 2, Gal TRE -
ds? ds? VN2 le? S/M VYN2 a? I M
de . Cos(e, Y) + & . dCos(e, Y) =
(2:- Dav+r Ty, ale f)a ge Ne 1 Mi (04)
d VN? lo? DI M VN2 a? I M
de . Cos(0,Z) + & . dCos(e, Z) =
(- Deer .afZ.)- JULI
ds? ds: VN? la? I M VN2 ao? I M

Multiplicerar man dessa eqvationer respective med eqvationerna (21)
och adderar under iakttagande af eqvationerna (4, 3), (4, 4), (4, 5),
(4, 6), (4, 25), (5, 1), (5, 2), (5, 3), (5, 5), (5, 26) och (6, 14), så

får man

N
— + 8 -&. ZCos(p, X)dCos(e, X)
VN:
y.dy y?.d u? VN? 3 3)
= pe led (Gr 3) Ia ur
a (25)
2 1 ds?
= "arga AE (gg )
e 0 a? 8 P.e a?.d

Ur eqvationen

2 u?
— + ds? =
e? QA?
erhålles
u u
Zara"
[’] 0 « «
och således

N
VA -B- 8. ZCos(p, X)dCos(e, X)

d2 a 2 y u?. Vde?
G 8 P.o.a

<< prev. page << föreg. sida <<     >> nästa sida >> next page >>


Project Runeberg, Fri Oct 18 18:40:18 2024 (aronsson) (download) << Previous Next >>
https://runeberg.org/uuarsskr/1861/0847.html

Valid HTML 4.0! All our files are DRM-free