- Project Runeberg -  Upsala Universitets Årsskrift / 1864 /
11

Table of Contents / Innehåll | << Previous | Next >>
  Project Runeberg | Catalog | Recent Changes | Donate | Comments? |   

Full resolution (JPEG) - On this page / på denna sida - Sidor ...

scanned image

<< prev. page << föreg. sida <<     >> nästa sida >> next page >>


Below is the raw OCR text from the above scanned image. Do you see an error? Proofread the page now!
Här nedan syns maskintolkade texten från faksimilbilden ovan. Ser du något fel? Korrekturläs sidan nu!

This page has never been proofread. / Denna sida har aldrig korrekturlästs.

Om några definita integraler. un

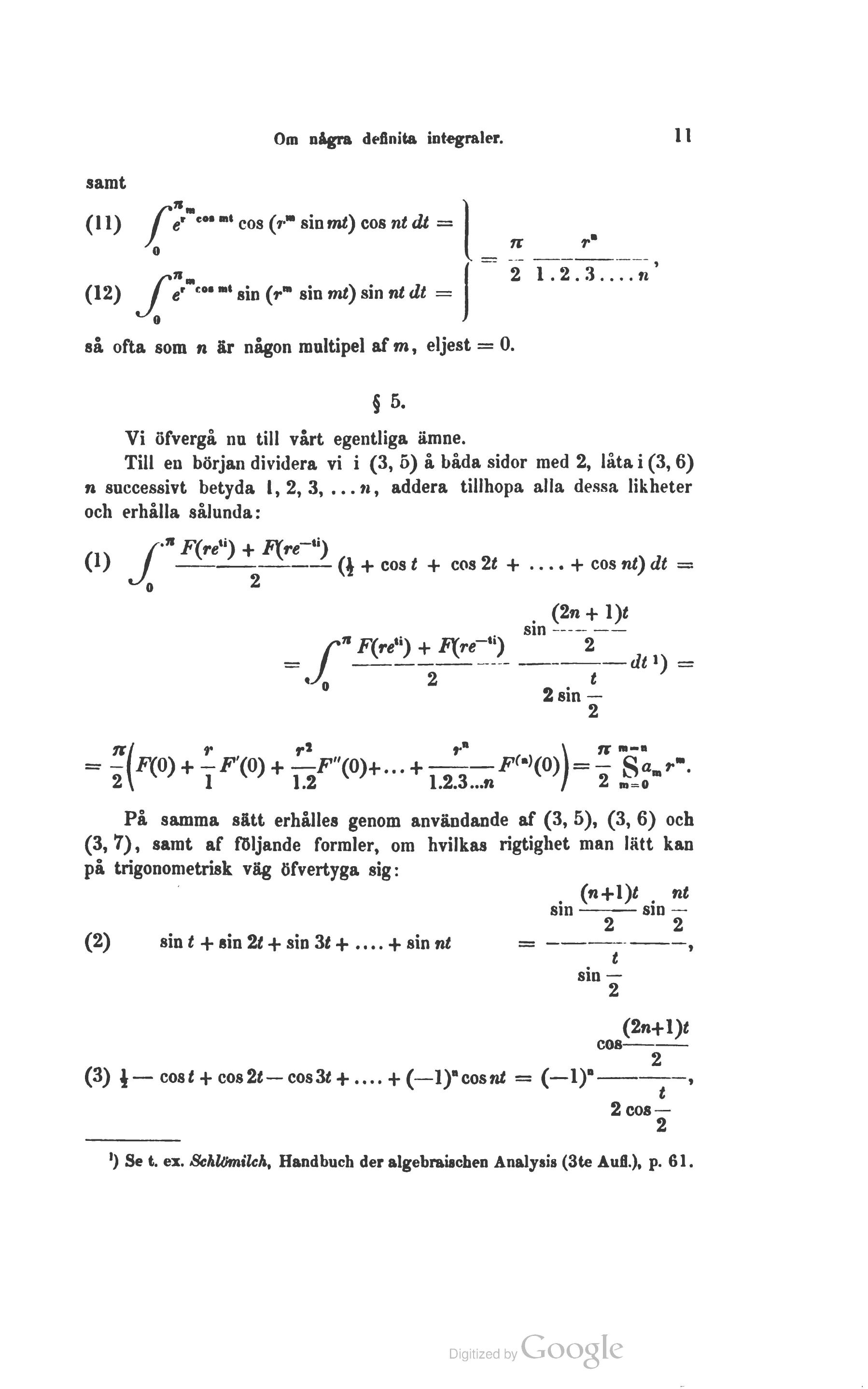
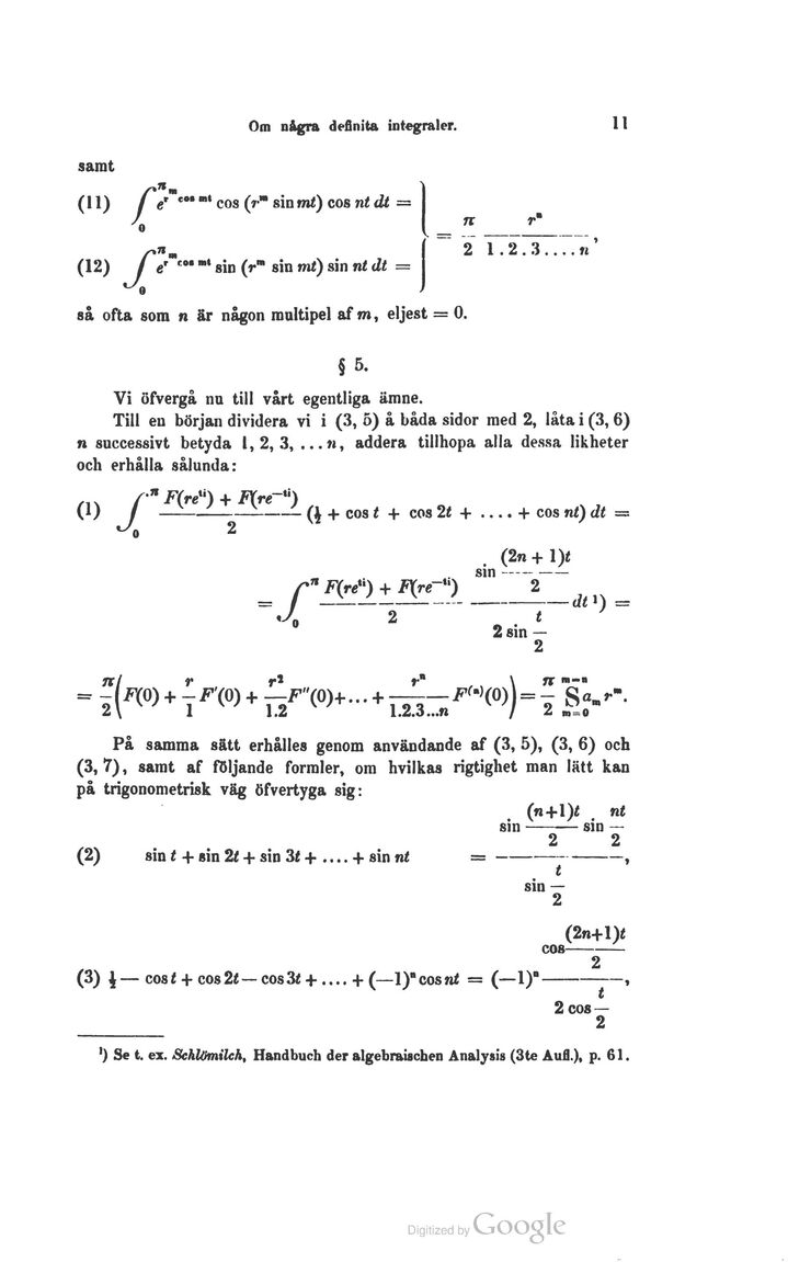
samt

By
(11) f: cos mt c0g (7 sin mt) cos nt dt = |
n ”

(12) S er” cos mt gin (r” sin mi) sin nt dt = |

så ofta som n är någon multipel af m, eljest = 0.

& 5.
Vi öfvergå nu till vårt egentliga ämne.
Till en början dividera vi i (3, 5) å båda sidor med 2, låta i (3, 6)
n successivt betyda I, 2,3,...n, addera tillhopa alla dessa likheter
och erhålla sålunda:

RR F(pgti ti
(1) / SER ) (+ cost + cos 26 + .... + cos nt) dt
o

ll

. (En + 1)e

2 sin —
2

I

— FO Saur”

"

(0 + r F(0 7?
2 1 tia 1.2.3...

På samma sätt erhålles genom användande af (3,5), (3, 6) och
(3, 7), samt af följande formler, om hvilkas rigtighet man lätt kan
på trigonometrisk väg öfvertyga sig:

(n+1l) > nt
sin sin —
. . 2 2
(2) sin & + sin 2t + sin 3t + .... + sin nt =
sin —
2
(2n+1):
(3) I — cost + cos 2t— cos3t +.... + (—1)" cosnt = (CAG
2c08—
2

!) Se t. ex. Schlömilch, Handbuch der algebraischen Analysis (3te Aufl.), p. 61.

<< prev. page << föreg. sida <<     >> nästa sida >> next page >>


Project Runeberg, Fri Oct 18 18:41:52 2024 (aronsson) (download) << Previous Next >>
https://runeberg.org/uuarsskr/1864/0779.html

Valid HTML 4.0! All our files are DRM-free